Unable to have ray spectrum with 19F (p, alpha + gamma) 16O)

Geant4 Version: V11.1.3
Operating System: Ubuntu 22.04.5 LTS
Compiler/Version: g++ 11.4.0
CMake Version: 3.22.1


Dear all,

I am trying to simulate the 6-7 Mev gamma production from a 19F(p, alpha + gamma ) 16O reaction.

This reaction reaction is maximum with 2-3 MeV protons, see xs below:

The emitted gammas are between 6 and 7 MeV (https://doi.org/10.1016/j.nimb.2016.06.003)

When I make a simulation using Hadr03 geometry with CaF2 as target, I do produce the O16 exited states. See G4 output when I ask not to decay the unstable O16 states,

O16[6049.400]:    2131  Emean =  938.64 keV   ( 271.24 keV --> 1.6586 MeV) 
O16[6129.890]:       7  Emean =  945.18 keV   ( 506 keV --> 1.4024 MeV) 
O16[6917.100]:       1  Emean =  468.65 keV   ( 468.65 keV --> 468.65 keV)

However, the GEANT4 gamma emission spectrum is broad. This is the result of a ntuple filled with gamma at the PreUserTrackingAction stage:

I use the following PhysicsList,

const G4double meanLife = 1*microsecond;  
G4NuclideTable::GetInstance()->SetMeanLifeThreshold(meanLife);
RegisterPhysics( new G4HadronElasticPhysicsXS(verb)); 
RegisterPhysics( new G4HadronPhysicsQGSP_BIC(verb));  
RegisterPhysics( new G4IonElasticPhysics(verb));
RegisterPhysics( new G4IonPhysicsXS(verb));
RegisterPhysics( new GammaNuclearPhysics("gamma")); 
RegisterPhysics(new G4RadioactiveDecayPhysics());

Any Idea why the 6MeV gamma peak is so broad ?

Thank you !

Romain

1 Like

Hello,
If the oxygen nuclei get significant recoil energy then it could be doppler broadening, although I’m not familiar with the process in Geant4. Perhaps you could use a GenericIon source that matches your excited oxygen nuclei and play with the kinetic energy? If you get narrow lines for kinE = 0, this may point to doppler broadening as your culprit. Happy to hear if someone knows more, best of luck!

1 Like

Hello,

I also feel like it is due to some doppler effect, since around 1 MeV of energy is given to O16.
However, I do not succeed to inactivate the doppler. I tried the option

G4ParticleHPManager::GetInstance()→SetNeglectDoppler(true)

With QGSP_BIC, there is no effect, Ok since no particle HP is involved.
With QGSP_BIC_HP, there is no effect, Ok since it should only affect the neutron physics.
With QGSP_BIC_AllHP, there is no more 6 MeV gammas (doppler set or not). I guess there is no xs for that reaction in the TENDL database.

I believe that would apply to the broadening of the cross sections used by the HP physics list, rather than the peak broadening for decay gammas. I’m not familiar with any easy switch here for decay secondaries (not saying there isn’t one, I just haven’t seen it). Two roundabout solutions I can think of are:

  1. Find the final state source code used by this reaction, copy it to your local project, delete the lines responsible and register it to your physics list. This would be messy and would require diving into the source code but would give you a more robust fix.

  2. The easier, although tedious, idea would be to run two simulations. In the first score xyz coordinates and O16 excitation energy and kill all secondaries from this reaction. In the second, place the O16 ions with 0 kinetic energy and let them decay as usual. This may require merging some spectra if you care about gammas from other sources as well.

Touching the G4 source code is above my skills.

I pushed the statistic a bit, and set the half-life threshold to 1 femto second, so that the three main excited states (6129, 6917 and 7116) are kept stable. Here is the filling of the Oxygen:

            O16:  905609  Emean =  940.18 keV   ( 225.03 keV --> 2.1805 MeV)
  O16[6049.400]:  213403  Emean =  928.72 keV   ( 252.81 keV --> 2.1121 MeV)
  O16[6129.890]:     839  Emean =  921.52 keV   ( 276.14 keV --> 1.5821 MeV)
  O16[6917.100]:     131  Emean =  828.52 keV   ( 273.8 keV --> 1.6916 MeV)
  O16[7116.850]:       6  Emean =     888 keV   ( 403.93 keV --> 1.3658 MeV)

Most of the O16 lands on the ground state, which is possible according to IBANDL database, though the xs says that most should land on the excited states.

Then, most land on 6.049 MeV, which is never measured. In this article one sees the filling of these levels, it should be 50 % for 7.116 MeV and the rest split for 6.129 & 6.917 : https://doi.org/10.1016/S0168-9002(00)00303-X

I think the filling of excited states is not correct. I looked at there half-life in G4ENSDFSTATE2.3, and the decay scheme in PhotonEvaporation5.7. The data are correct for O16.

Do you think the issue could be in the nuclear data somewhere ?

This is a bit outside of my area, sorry. Hopefully someone else can weigh in!

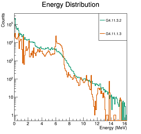
I installed the last version, 11.3.2, and it is even worse. The QGSP_BIC hadron inelastic physics does not produce the O16 excited states. With a half life threshold to stability set to 1 femto-s, O16 is produced but no O16 are produced,

        O16:  180467  Emean =  1.3179 MeV   ( 83.753 keV --> 4.8459 MeV)

No 6-7 MeV peak is observed on the spectrum either,

The QBBC, FTFP_BERT and Shielding physics yield the same kind of result.

Please check that the initial ions are at rest.

Please check you have vacuum as the volume material.

Make sure you have enough time for the decay to happen.

“O16 is produced but no O16 are produced” is ambiguous. What do you mean? Could you use physics with a higher EM option so the excited states are not shortcut?

There is no initial ions and there is no vacuum, the target material is G4_CALCIUM_FLUORIDE.

Indeed, it is ambiguous, it is even an error. I wanted to say that O16 is produced but no excited states of O16 are produced.

In a previous post with G4.11 + QGSP_BIC and also very short decay threshold, the code produces O16[6049.400], O16[6129.890], O16[6917.100], and O16[7116.850].

If a set the half life threshold to 20s, then all these excited states decay to the ground state.

What is this “higher EM option” ?

The gammas in the bulk of the material may experience some scattering. Have you tried a thin target?

The excited states are likely shortened out to save time. In other words, instead of producing an excited state, Geant4 jumps to the next product of that state.

A higher EM option would mean, e.g. FTFP_BERT_EMZ. There must be other physics lists with EM* postfixes.

I tried a 19.3 µm thick target, which is the experimental setup. See figure below, “Hadr03” is for the thick configuration, “AIFIRA” is for the 19.3 µm (AIFIRA is the accelerator name)

The gamma yield is lower but the trend is similar.

Indeed I read that the excited states may not be kept if they are too short. I tried to lower the threshold to stability to 1 ps but it has no effect.

I will try the EM V-X-Y-Z constructors to see if there is any effect.

Thank you for you suggestion.

There is no significant difference between G4EmStandardPhysics and G4EmStandardPhysics_option4.

Though if I understand correctly, EM options affect the gamma behavior in matter. While I think the issue here is in the gamma production that does not follow the tabulated energy levels.

This topic was automatically closed 7 days after the last reply. New replies are no longer allowed.